新闻详情

用大数据分析奥运会运动员的微表情

发表时间:2021-08-03 09:57

大数据分析奥运会运动员的微表情


转自大数据文摘

作者:王烨

疫情可以说是影响了东京奥运会的方方面面。

东京奥运会开幕前制定的「防疫手册」中规定,所有运动员领奖时「必须全程戴口罩」。

奥运会开赛以来,不少获奖运动员都对「口罩令」不满,于是国际奥委会因此于 25 日依据公共卫生专家的建议作出修改,从当天起允许获得奖牌的运动员「站在各自领奖台上时摘下口罩至多 30 秒,供媒体记者拍照」。

国际奥委会说,对运动员而言,领取奥运会奖牌是他们运动生涯中独一无二的时刻,他们希望能微笑、展现情绪——不过,获奖运动员一起站在金牌领奖台上拍合照时必须戴口罩。

根据新规定,在播放国歌后将向获奖者们给出可以摘下口罩最多 30 秒的信号。国际奥委会表示,这一改变将让获奖运动员在媒体面前展示自己的形象,让媒体捕捉到他们在运动生涯中独特时刻的面部表情,同时也能一起来庆祝所有奖牌得主的成就。

奥运会选手领奖的面部表情不仅通过镜头传播到了全世界,还被用来进行了分析。明尼苏达大学卡尔森管理学院副教授 William Hedgcock 在一项最近的研究中对 2000 年至 2016 年间的 5 届夏季奥运会 142 个体育项目的 413 名运动员的奖牌照片进行了表情分析。

分析结果显示,铜牌获得者比银牌获得者更容易展现出微笑,而金牌获得者比其他获得者更快乐。

这篇文章被发表在《实验心理学杂志》 ( Journal of Experimental Psychology ) 上。


论文链接:


https://psycnet.apa.org/record/2020-84132-001?doi=1

反事实思维,获得银牌反而没有获得铜牌开心?

为了进行这项研究,研究人员首先选取了 2000 年至 2016 年夏季奥运会田径奖牌获得者的照片。

作者也考虑过将 2000 年以前的获奖照片纳入研究,但遗憾的是照片资料太少,不足以支撑研究。

最后,作者共收集了5 届夏季奥运会期间代表 67 个国家的 142 项体育赛事的 413 名运动员的照片。


数据可以在开放科学框架中获得:


https://osf.io/ypwq3

此外,作者还用每位运动员的各种个人信息补充了这些照片,并且汇总了每个运动员的比赛年份、实际奖牌、预测奖牌、性别、国家和种族的数据库。

识别运动员的表情则是采用 EmotientTMNative SDK 4.1 进行自动识别的。Emotient 的输出包括 20 种独特的基本面部肌肉运动,称为与情绪研究相关的动作单位(AU),该程序自动整合了这些 AU,形成了喜悦、愤怒、悲伤等表情的综合度量。

出于这项研究的目的,作者使用了快乐的综合衡量标准来表示奖牌获得者表情的相对差异,对于一个给定的表情,软件会输出存在目标表情(例如微笑)的几率(以 10 为标准)。

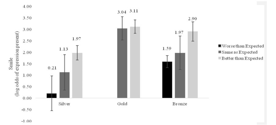
按照常识来看,运动员的快乐应该是跟获得的成绩呈现一个 " 线性关系 " 的,成绩越好应该越快乐,但是结果却是相反的。

最后的统计结果显示,获得金牌的运动员确实更可能在颁奖台上露出笑容,但是获得铜牌的运动员却比获得银牌的运动员更 " 开心 "。


除此之外,作者还研究了运动员在领奖台上的情绪和种族、性别之间的关系。


为什么运动员会出现反事实思维?

银牌和铜牌获得者的这种 " 反转 " 情绪被称为 " 反事实思维 ",作者也对此进行了分析,这种现象可能有两种解释:一是" 基于类别的反事实 ";二是" 基于预期的反事实 "

" 基于类别的反事实 " 对此的解释是,银牌获得者与金牌获得者形成了一种向上的比较,他们的想法是 " 我几乎赢得了金牌 ",而铜牌获得者则与第四名获得者形成了向下的比较,他们的想法是 " 至少我赢得了一枚奖牌 "。这些基于类别的比较影响了这些奖牌获得者的表达方式。

第二种解释 " 基于预期的反事实 " 则认为,奖牌获得者形成了基于预期的反事实,银牌获得者不太可能微笑是因为他们先前对表现的预期高于铜牌获得者。对 " 预期结果 " 的考虑可能会困扰奖牌获得者,并影响对实际表现的满意度。


最后,作者也指出,面部表情有时是真正快乐的标志,有时是不真实快乐的标志,在研究中也发现了奖牌获得者可能为了社交礼仪而强迫微笑的例子。


不过,从这项研究中我们也可以看出,除非获得金牌,获得银牌或者金牌对不同运动员来说,带来的心情是不一样的,也就是说,不同运动员在比赛中面临的夺奖压力也是不同的。

从这一方面来看,我们更应该对所有在比赛中拼搏的运动员给予尊重,而不是以奖牌论英雄,因为对于原本就奔着金牌去的运动员来说,自己给自己的压力就非常大,如果最后收获一枚银牌,运动员本身可能就很失落,这时候,他(她)们需要的是更多是鼓励而不是苛责。



扫码关注获取更多资讯

Tel:400-164-7890
商业合作:mkt@bytevi.com
销售咨询:Sales@bytevi.com


产品
ByteCare数据平台
ByteView数据平台
API治理平台
知识图谱构建平台
可视化数据应用平台




解决方案
企业数据中台
保险反欺诈
智慧园区大数据解决方案
多媒体可视化指挥预警分析系统



案例
银行数据中台
保险车险反欺诈
银行反欺诈
企业数据云平台



佰惟数据
关于佰惟
联系我们
在线支持
资源中心



企业愿景 丨   成为对用户最有价值的专业智能数据公司

企业使命 丨    数据驱动价值创造,让数据资产持续为用户增值
 
 
ABUIABAEGAAg8b3mhgYo4Y60FzCwCTjYBA
    联络佰惟 400-164-7890